Articles in this Volume

Research Article Open Access
Optimization of wind farm energy supply system costs through machine learning
Article thumbnail
At present, the energy crisis is becoming increasingly severe, and changing the energy structure and developing clean energy have gradually become the consensus of the world. Establishing a clean energy power supply system, using clean energy for power generation, and investing in real power supply are currently unresolved challenges. Based the current high cost of new energy power supply systems, this project proposes an optimization plan based on the wind power supply system, targeting the capacity of lithium battery energy storage equipment, and constructs an optimization model for wind power supply in electric vehicle systems. In addition, in order to use lithium-ion battery devices more efficiently and ensure the evaluation of the efficiency and battery life of lithium-ion battery energy storage devices, we predicted the cyclic aging phenomenon of lithium-ion battery energy storage devices through machine learning technology. This prediction can provide suggestions and references for the use of this lithium battery.
Show more
Read Article PDF
Cite
Research Article Open Access
Metal-organic frameworks (MOFs) for photoreduction of CO2
Article thumbnail
In recent decades, human industrialisation has become increasingly advanced, and the quality of life has also improved. Subsequently, the excessive consumption of fossil fuels has caused a series of problems, for example, global environmental warming caused by excessive CO2 emissions. Among numerous CO2 reduction technologies, using solar energy as an energy source for the CO2 photoreduction is considered one of the most prospective technologies. This method not only reduces the amount of CO2, but also enables to converse CO2 into other valuable chemicals, thereby achieving carbon cycling. Metal-organic frameworks (MOFs) are composed of metal ions and organic ligands as three-dimensional porous materials. MOFs have many advantages, including sizeable specific surface area, excellent CO2 absorption capacity and modifiable pore structure, leading to broad application potential in photocatalytic reduction of CO2. This article mainly introduces three aspects: functionalisation and modification of pure MOFs, MOF-based composite materials, and MOF-derived materials, which further improve the CO2 photocatalytic efficiency of MOFs. Furthermore, it includes the analysis of reported examples, discussion and outlook on reaction mechanisms and challenges. At present, the main difficulties faced by MOFs-based photocatalysts lie in their economic feasibility and poor material stability. Therefore, this review aims to help stimulate in-depth research in this area as well as better exert the advantages of MOFs.
Show more
Read Article PDF
Cite
Research Article Open Access
Properties of methylmercury and its physiological effect on the human body
Article thumbnail
With the development of Chemistry industry, more and more organic mercury compounds are now found in environment and the level of their exposure is increasing, polluting and harming the environment. Humans may be exposed to organic forms of mercury through inhalation, oral routes. Among them, the most common phenomenon is by eating fish and shellfish contaminated by methylmercury. Many methods are used in detecting the existence of mercury in the tissue of samples or the concentration of mercury in sediments of Minamata Bay, which is the origin of Minamata disease, such as using ammonium sulfide and hydrogen sulfate through the observation of brownish back granules. Generally, the effects of exposure to organic mercury are primarily on the nervous system, while many other organ systems may also be affected, including the gastrointestinal tract, respiratory system, liver, immune system, skin, and kidneys. The study investigates the physiological effect of the organic mercury and how to detect the existence of the organic mercury in the environment.
Show more
Read Article PDF
Cite
Research Article Open Access
Advancements in ceramic-on-ceramic bearing materials for total hip arthroplasty: Properties, challenges, and future directions
Total hip arthroplasty (THA) is a vital procedure for addressing hip injuries and end-stage arthritis, offering relief to millions annually. However, long-term issues like femoral headwear and osteolysis persist, with 25-year survival rates of around 77.6%. Material selection significantly influences THA outcomes. This article investigated five typical ceramic-on-ceramic (CoC) bearing materials, including alumina, zirconia, zirconia-toughened alumina (ZTA), delta ceramic, and sapphire. Alumina, known for hardness and wear resistance, improved with lower fracture rates, and some squeaking and zirconia ceramics addressed fractures but require impurity reduction. ZTA combines alumina and zirconia, excelling in mechanical properties but also exhibiting squeaking. Optimized with nanostructures, delta ceramic shows fracture resistance despite occasional squeaking. Sapphire offers excellent biocompatibility but requires complex manufacturing and more clinical trials. The quest for optimal THA-bearing surfaces is ongoing, demanding rigorous research and collaboration.
Show more
Read Article PDF
Cite
Research Article Open Access
The significance of comparing the rate of warming since the industrial revolution with the rate of paleoclimatic warming
Article thumbnail
The aim of this thesis is to explore the contrast between the rate of warming since the Industrial Revolution and the rate of paleoclimate warming, and the significance of this contrast. By comparing the rate of warming between these two periods, the impact of industrial activity on global climate change can be clearly seen. In addition, such a comparison can also help to gain a deeper understanding of the mechanism by which greenhouse gas emissions contribute to climate change and provide a scientific basis for the formulation of measures to reduce greenhouse gas emissions. At the same time, comparing the rate of warming since the Industrial Revolution with the rate of paleoclimate warming can also assess the severity of the current global warming, prompting people to take more active actions to address the challenges of climate change. Therefore, by examining the comparison between the rate of warming since the Industrial Revolution and the rate of paleoclimate warming, the impact of human activities on global climate change can be better understood and provide the scientific basis and urgency to slow down the process of climate change.
Show more
Read Article PDF
Cite
Research Article Open Access
Techno-economic and environmental viability assessments of algae-based hydrogen energy
Article thumbnail
The demand for sustainable and environmentally friendly energy sources has become increasingly urgent in recent years due to concerns over the depletion of fossil fuels. Algae-based hydrogen energy systems have emerged as a promising solution, offering a potential pathway to produce biofuels. Due to its drawbacks in sustainability, conventional hydrogen energy is not commonly regarded as the most favorable option among renewable energy sources. Nonetheless, hydrogen does hold promise as a source of renewable biofuel and has significantly enhanced the existing process of hydrogen production, which previously relied heavily on fossil fuels. This study offers an exploration of advancements in the field of biohydrogen, covering the biological pathways, designs and functioning of bioreactors, as well as a thorough techno-economic assessment. Additionally, the document addresses both the obstacles currently faced and the potential opportunities in the realm of biohydrogen production.
Show more
Read Article PDF
Cite
Research Article Open Access
Data analysis of lung cancer incidence
Article thumbnail
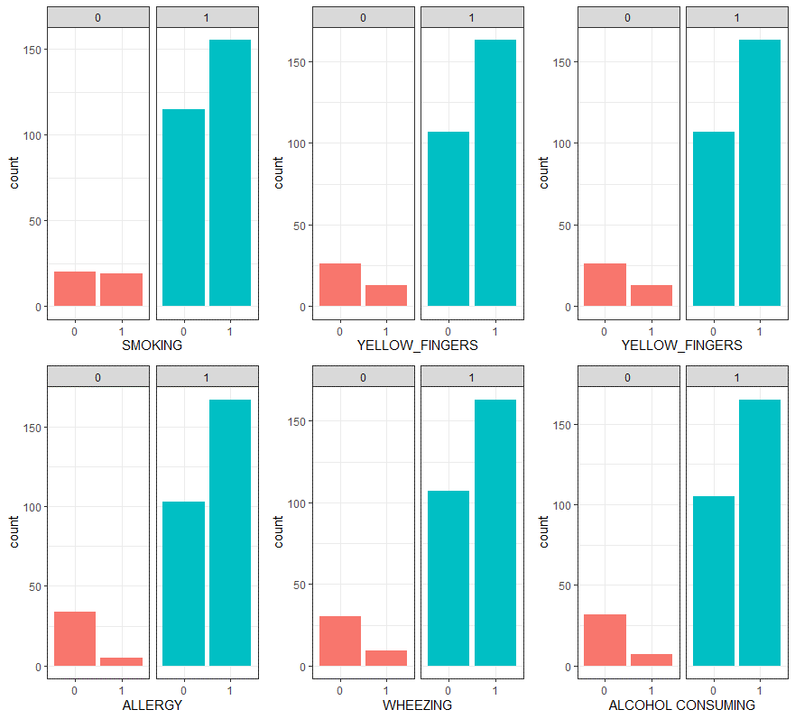
Lung cancer has been widely considered as a global high incidence-disease, and its incidence is related to many factors, like smoking, genetics, and other diseases. This paper aims to model and analyse a database to further study the relationship between the incidence of lung cancer and other factors by utilizing a clinical database containing the patient information such as disease diagnoses, age, gender, and smoking. The model finds that patients with allergy and swallowing difficulty have significantly high incidence of lung cancer, while smoking does not show a highly positive association with lung cancer in the model which is widely confirmed should be highly related with lung cancer. The problem could be related to the sample in the database, since most of people in the dataset are getting respiratory diseases who are more likely to quit smoking. Finally, the paper discusses the associated causes of lung cancer and potential risks that other diseases may have based on the model result.
Show more
Read Article PDF
Cite
Research Article Open Access
Commercial application in solar PV
Article thumbnail
Solar photovoltaic (PV) technology has been widely used in the past decades due to its potential for sustainability and energy supply. With the continuous strengthening of people’s awareness of environmental protection, solar PV energy has become an important renewable energy technology recognized in the world after years of development. However, the use of solar PV technology has presented several detrimental flaws, including high startup costs, inefficient material usage, and inconsistency. This paper is going to introduce the application of this technology, including electric vehicles, off-grid and grid-tied solar PV systems used in homes. We will also discuss the advantages and disadvantages of using solar PV panels in residential buildings. The results suggest that the implementation of off-gridic Solar PV systems for power generation at residential buildings being highly significant. In addition, a Grid-Tied Solar PV system also allows the household to sell electricity back to the grid in surpluses, which may bring a monumental leap toward more sustainable and energy-efficient living. In addition, the installation and maintenance of grid-Tied Solar PV systems are also important. In this context, solar PV energy stands out as one of the most promising solutions as a renewable energy.
Show more
Read Article PDF
Cite
Research Article Open Access
Application of lightweight materials in automobiles: A review
Article thumbnail
Due to increasing challenges on carbon emissions, there is increased demand for more fuel economic vehicles; weight reduction, an attractive strategy for increasing fuel efficiency, has become prevalent in automobile design. This paper provides a review on weaved carbon fiber composites, long fiber carbon fiber composites, aluminum alloys, magnesium alloys, and glass fiber composites. They are assessed on strength, durability, corrosion resistance, and processing difficulty, to determine whether they can be used in lightweight automobile components. Numerous methods can be used to enhance the mechanical properties and ease of processing of these materials, to make them more appropriate for use. However, the materials all have their specific downsides like high weight, difficulties in processing, low corrosion resistance, or poor fatigue properties. We concluded that the materials are suitable for usage in automotives after undergoing specific Manufacturers should consider the relevance of these advantages and disadvantages to the application of materials in specific parts of the automobile.
Show more
Read Article PDF
Cite
Research Article Open Access
Lotus leaf and shark skin-inspired micro-, nano-, hierarchical superhydrophobic surfaces for anti-fouling applications
Article thumbnail
Fouling, the accumulation and adhesion of unwanted contaminants, is a serious issue around the world in many aspects including industrial transport, marine ecological environment, maintenance of infrastructures, etc. which costs hundreds of millions of dollars and lots of manpower and material resources. Multiscale hierarchical surface structures of superhydrophobic surfaces possess various intriguing properties which provides new platforms for fabricating artificial anti-fouling surfaces. In particular, lotus leaf and shark skin with their unique micro-, nano-, hierarchical surfaces structures are highlighted as emerging tools for anti-bacterial, anti-dust, anti-corrosion, anti-icing, drag reduction applications and so on. In this review, we first provide basic information on two famous superhydrophobic states. After that we outlined the biological models and applications of lotus leaf and shark skin respectively. The self-cleaning effect of superhydrophobic lotus leaf due to their multiscale hierarchical surface structures is discussed after which anti-bacterial applications with three kinds of mechanisms and self-cleaning properties are outlined. Biological models of superhydrophobic shark skin are presented followed by their real-life applications in aircrafts and turbine blades. In addition, we discuss the potential drawbacks of recent biomimetic anti-fouling superhydrophobic surfaces like the loss of anti-fouling hydrophobic materials, adaptability to extreme environments, production and use costs and other problems as well as the possibilities of combine superhydrophobic structures and materials with high temperature resistance, oxidation resistance and other characteristics in order to be applied in more industries fields.
Show more
Read Article PDF
Cite