Articles in this Volume

Research Article Open Access
Study of Temperature Variation in East Antarctica
Article thumbnail
Since the global warming has becoming a significant issue, lots of research and studies have been done in every part of the earth, while we knew little of the Antarctica. the Antarctica is a very complex region. Different research methods and variables for the same region may produce different results. This paper focusing the study of temperature variation in East Antarctica, uses the data from ERA5 and CERES to generate the spatial and temporal plot of the mean temperature and make explain. By using sorts of statistical methods including Spearman's rho and linear regression model, this paper here conducts the analysis of the relationship between the radiation, air pressure and the temperature, finding that the temperature is not sensitive and through they show the same trend, the reason is totally different, attributing to various factors like katabatic wind. This paper contributes to use many statistical methods during the analysis and may provide some new perspective for further investigation.
Show more
Read Article PDF
Cite
Research Article Open Access
The Industrial-Level Effects of Climate Change: Evidence from the Health Industry, Wheat Industry, Potatoes Industry, and Corns Industry
Article thumbnail
Climate change has broad and multifaceted impacts on various industrial sectors, and global and regional effects are becoming increasingly evident. This article focuses on the health, grain, wheat, and corn industries among different regions to illustrate the performances of climate change at the industry level. Rising temperatures, changing precipitation, and increasing extreme weather events disrupt agricultural productivity and pose significant challenges to the grain, wheat, and corn industries. Changes in crop yields and the geographic distribution of cropland can lead to food supply instability, higher production costs, and potential long-term economic impacts. Similarly, the healthcare industry is under increasing pressure due to the far-reaching health impacts of climate-related diseases, environmental stress, food insecurity, and malnutrition. By reviewing the latest data and industry-specific case studies, this article highlights the urgency of mitigating the adverse impacts of climate change on these industries and developing adaptation strategies to protect global economic stability and people's welfare.
Show more
Read Article PDF
Cite
Research Article Open Access
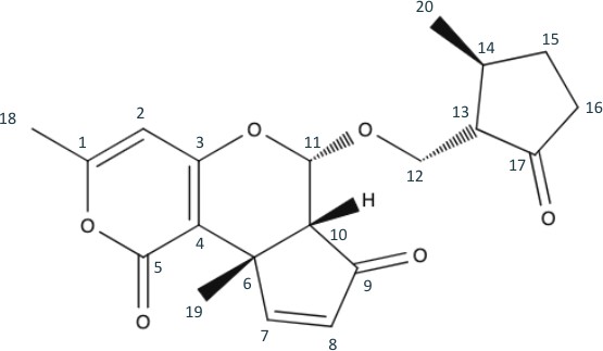
Retrosynthetic Analysis of Peniapyrone E
Article thumbnail
Retrosynthesis is the increasingly used strategy of breaking down a target molecule into simpler precursor structures through strategic disconnections. It is critical in helping devise a synthetic route to a complex organic compound as it ideally fragments the original molecule into easily obtainable pieces. The goal of this paper is to provide such a plan that would open a simple synthetic pathway to the recently discovered organic molecule Penipyrone E.
Show more
Read Article PDF
Cite
Research Article Open Access
Retrosynthesis: A Strategy for Organic Synthesis
Article thumbnail
Retrosynthesis, method for derive reactants from the reaction products. This method uses a reverse thinking to explore the chemical synthesis problem. And this analytical method has effectively promoted the development of computer-aided organic synthesis. Retrosynthesis analysis is of great practical significance for organic chemical analysis. This paper focuses on the development situation of Retrosynthesis analysis and the current application situation and application methods of inverse synthesis analysis. The author also uses the method summarized in this article and demonstrates the application of retrosynthesis analysis with the synthesis of indole, ibuprofen, penicillin V, and morphine as practical cases. The results of this discussion on Retrosynthesis analysis are conducive to the learning of chemical analysis methods and reverse thinking, and conducive to further promote the development of big data-assisted organic synthesis, which is of practical significance.
Show more
Read Article PDF
Cite
Research Article Open Access
Introduction to Retrosynthetic Analysis
Article thumbnail
As a key strategy of organic chemical synthesis design, retrosynthetic analysis can effectively guide and optimize the synthesis process of complex molecules through reverse thinking and step by step assembly.In this paper, the basic concept of retrosynthetic analysis. The basic steps of retrosynthetic analysis are described in detail. Finally, this paper looks forward to its potential and prospect in the future organic chemical synthesis.
Show more
Read Article PDF
Cite
Research Article Open Access
Chemical Synthesis of Uvarialeptone B
Article thumbnail
Uvarialeptone B has the ability to kill and inhibit the growth of cancer cells. In this study, a retrosynthetic analysis and a synthetic method will be listed and found, using some traditional organic chemical reactions, such as Fleming-Tamao oxidation and DA reaction. It is the aim of this essay to propose a synthetic method to produce uvarialeptone B.
Show more
Read Article PDF
Cite
Research Article Open Access
Research on Performance of Wind, PV, Thermal and Hydrogen Energy Storage Combined Power Grid System
Article thumbnail
With the continuous growth of world energy demand and the rapid development of energy storage technology, adding energy storage systems to power systems to improve energy utilization efficiency and reduce energy waste caused by sustainable energy volatility will be a common form in the future. Optimizing energy scheduling is the key to improving system efficiency and economy. This paper proposes a wind, PV, thermal and hydrogen energy storage combined power grid system based on hydrogen energy storage technology. By considering constraints such as system power balance, sustainable energy output power, and energy storage system operation balance, a mathematical model is established and solved with the minimum operating cost as the objective function. Finally, the load and sustainable energy potential data of each California region are used to verify the superiority of the system proposed in this paper.
Show more
Read Article PDF
Cite
Research Article Open Access
Extraction of Forest Fire Scars Based on Sentinel-2 Data — Take Xiaozhushan Mountain Fire Apr.23 2020 as an Example
Article thumbnail
Using Sentinel satellite data, particularly the red-edge bands and shortwave infrared bands that are sensitive to vegetation, we addressed the lack of research on extracting post-disaster burn scars by selecting Sentinel-2 satellite data before and after the forest fire on April 23, 2020, in Xiaozhushan, Qingdao, Shandong Province. Different extraction methods were employed to explore the potential of identifying burn scars, and a comparative study was conducted. The experimental results indicated that NBR2 was the least affected by smoke and achieved the highest extraction accuracy. The other methods were relatively more affected by smoke. The supervised classification method could effectively avoid the influence of water body changes. The study demonstrated that among various methods, NBR2 could accurately extract burn scars quickly and with high precision.
Show more
Read Article PDF
Cite
Research Article Open Access
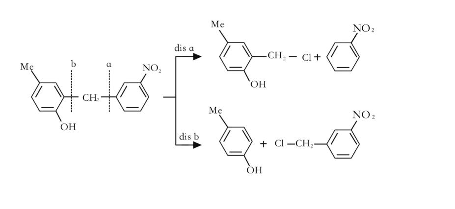
A Comprehensive Overview of Retrosynthetic Analysis
Retrosynthetic analysis is a sea change in methodical design of synthesis routes to complex molecules in organic chemistry. The brainchild of Nobel laureate Elias James Corey, this approach-in essence-inverts the convention in synthesis by working one's way backward from the target molecule to simpler, more accessible precursors. Basic concepts like the process of disconnections and synthons, functional group interconversions are basic concepts that form a basis of deconstruction of molecules into manageable pieces. Retrosynthetic analysis has found wide applications in pharmaceuticals, natural product synthesis, and materials chemistry, offering ways of effective solutioning in the manufacturing of active pharmaceutical ingredients, biologically active compounds, and advanced materials. Although some problems concerning molecule complexity and scalability of reactions do arise, this method remains irreplaceable in the process of driving innovation in chemical synthesis. Further evolution of retrosynthesis with state-of-the-art computational tools along with sustainable practices will continue to advance the field of organic chemistry. This article contextualizes retrosynthetic analysis in depth: describing its principles, application, challenges, and prospects of implementation by academic and industrial circles.
Show more
Read Article PDF
Cite
Research Article Open Access
Transformative Potential of Borophene: Revolutionizing Energy Storage
Borophene is a new two-dimensional material with several outstanding properties. Since it consists of boron atoms, it would be widely utilized in energy storage applications. This review primarily focused on mechanical flexibility, superior electrical conductivity, and high reactivity, which allows it to be used in supercapacitors, lithium-ion batteries, hydrogen storage, and enlightening the unique atomic structure of borophene. Among all the properties, hydrogen storage is the most noteworthy of all, considering the fact that borophene has a high surface area with strong hydrogen binding, which perfectly matches the need to dope with lithium. Being lightweight with tunable electronic and thermal properties, this makes it the perfect material for creating future energy devices that could eventually enhance charging cycles together with higher energy densities. Although challenges on its synthesis and stability remain, many further developments, in particular deposition techniques and protection methods continue to improve its prospects. The main emphasis of the review is especially dedicated to the transformation role played by borophene in energy storage, underlining at the same time its potential applications in different areas, such as hydrogen storage and solid-state batteries.
Show more
Read Article PDF
Cite