Research Article
Open Access
Published 24 January 2025
DOI: 10.54254/2755-2721/2024.20540
Sentiment Analysis and Rating Video Game Dimensions via NLP
Liwei Yuan, Maoxiang Ding, Feiyang Meng, Yumin Tian
Online gaming platforms generate vast amounts of user comments, which serve as valuable information for potential users and purchasers. Extracting meaningful guiding information from this data is crucial. As a Natural Language Processing technique (referred to as NLP), sentiment analysis technology demonstrates a high efficiency in accurately discerning the emotional tones within the comments, thereby objectively evaluating the advantages and disadvantages of gaming products based on user comments. In this paper, the comments of two games are analyzed, Grand Theft Auto V (referred to as GTAV) and Cyberpunk 2077 (referred to as 2077) on the Steam platform. Based on the self-built sentiment dictionary, keywords representing different sentiments were extracted by applying two different sentiment analysis models which are VADER and TEXTBLOB. Then we apply two models to classify the sentiments that the keywords express. Finally, the ratings of five dimensions (community, gameplay, storyline, sound and graphic) were obtained by transforming the sentiment analyze score, and the differences in the training results of different models were compared. The result analysis shows the performance difference between the VADER model and TEXTBLOB model through analyzing the standardized scores and the Pearson correlation coefficient. And it was particularly noted that the VADER model is better at capturing emotional changes in game reviews, while the TEXTBLOB model may not fully represent the user’s emotional inclination towards various aspects related to the game. The results reveal significant differences in model performance, providing insights into their effectiveness for gaming comment analysis.
Research Article
Open Access
Published 24 January 2025
DOI: 10.54254/2755-2721/2024.20541
A Machine Learning-Enhanced Chat Application for the Identification of Mental Disorders
Qian Cao, Zhihao Yan, Zihang Gong, Jin Huang
The prevalence of mental disorders is increasing, but they continue to be underdiagnosed and under addressed. Social media platforms offer novel opportunities for detecting potential mental health issues through the analysis of user-generated content. This paper presents a chat-based program developed using machine learning models trained on a dataset of comments from Reddit users. The program is capable of predicting the type of mental illness based on user input. This study provides a detailed comparison of various classification algorithms, including Naïve Bayes, Logistic Regression (LR), Support Vector Machines (SVM), and Random Forests (RF). Additionally, the paper discusses relevant machine learning techniques from previous studies. The results indicate that LR model, particularly with a uni-gram feature representation, outperforms other models with an accuracy of 0.81 and demonstrates the fastest processing speed. Future research directions include the integration of Large Language Models and the development of a multilingual chat interface.
Research Article
Open Access
Published 24 January 2025
DOI: 10.54254/2755-2721/2024.20526
Explore Potential in Bridging of Neuroscience and Deep Learning
Ziang Wei, Xiaoyu Liu, Tianxin Xie, Zoujizhong Wang, Wanyue Bian
Neuroscience has tight connections with machine learning, but this relationship isn’t so clear in deep learning. This review explores the bidirectional bridge between deep learning and neuroscience. It reveals how deep learning helps interpret the basic mechanisms of neuroscience and how neuroscience inspires AI scientists to improve algorithms. We review research using deep learning to investigate cognition portions, like grid cells, neuron-astrocytes, and hippocampus. Also, deep learning, mainly Transformers, is improved by modifying and combining with other models. Inspired by neurons, even a new model known as “Thousand Brains” is set up. Finally, we discuss the limitations revealed in how to translate biology action into algorithms. In the future, it is convinced combination of biology function and deep learning which is used to test multiple tasks is a feasible method to explore the basic mechanism of neuroscience and improve algorithms.
Research Article
Open Access
Published 24 January 2025
DOI: 10.54254/2755-2721/2024.20527
A Review of the Clinical Application of Endovascular Electrodes and Its Future Prospects
Zhao Zhang, Rui Zhang, Zhimeng Chen, Jingran Meng
Brain-computer interface (BCI) has been used to treat neurological diseases. Traditional BCI technologies are usually invasive and may damage neural tissue during implantation. However, endovascular electrodes (EE) are a promising solution to the above problem. They represent a minimally invasive neural technique that can reduce the risks associated with surgery and its complications. In this review, we summarized the research progress on EE technology in animal models and human clinical trials. In addition, we reviewed the development of devices that can enhance EE applications, focusing on the representative product StentrodeTM. Finally, we discussed the prospects of EE technology based on current experimental results. Early animal experiments have demonstrated the safety and viability of EE, while recent human trials have shown its potential in treating diseases such as paralysis. Besides, with the development of technology, EE may be applied in a broader range of areas. In conclusion, existing studies indicate that EE can overcome the limitations of traditional BCIs and suggest a wider use of EE in the future.
Research Article
Open Access
Published 24 January 2025
DOI: 10.54254/2755-2721/2024.20528
ArthurNote: An AI-Driven Note-taking Platform Eliminating Repetitive Tasks
Chuxuan Gao, Zhan Shi
The note-taking procedure performs a significant role in education and business, offering a simple methodology to schedule routines, emphasize important parts, and review previous events. However, it is tedious and superfluous for students to record common knowledge that already exists in the public domain. Existing online noting platforms can not satisfy our requirements. This paper introduces an innovative approach to enhancing the note-taking experience by integrating large language models (LLM) and cutting-edge development technology within our AI-aided note-taking platform. The development of the new platform is based on a methodology of front-end and back-end separation, and it is empowered by the NoSQL cloud database and online LLM service to increase its scaling ability. With LLM’s help in completing, the redundant efforts of users have been eliminated to a large degree.
Research Article
Open Access
Published 24 January 2025
DOI: 10.54254/2755-2721/2024.20529
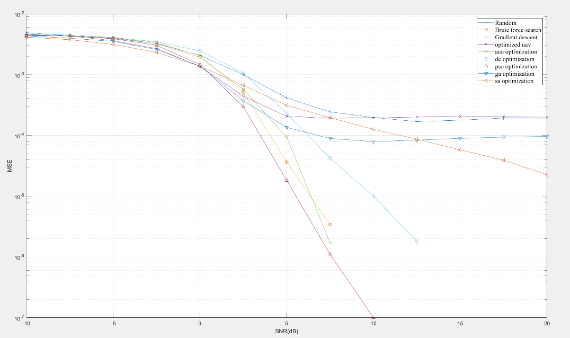
Optimization of Distributed UAV Swarm Placement for Target Localization Using Multiple Heuristic Algorithms Based on Compressive Sensing
Zeyu Du, Luoyu Liu, Hangyu Zhou, Ziyi Chen, Yusen Yao
Collaborative UAV swarms are increasingly deployed as temporary base stations in emergency situations to relay communications. This paper designs intelligent optimization algorithms, which minimizing mutual coherence within a region of interest (ROI) aims to solving challenge in these scenarios is optimizing the UAVs' locations to avoid mutual signal interference and ensure high communication quality. Minimizing mutual coherence reduces the likelihood of signal interference between UAVs. We explore various optimize algorithum, including Heuristic Search (HS) and Ant Colony Optimization (ACO) and so on. The results provide insights into each algorithm's performance in dynamic environments, helping to identify the most suitable approaches for UAV deployment in emergency scenarios. This study contributes to the development of efficient UAV deployment strategies, enhancing the reliability of UAV-based communication systems during critical events.
Research Article
Open Access
Published 24 January 2025
DOI: 10.54254/2755-2721/2024.20531
Spatial Economic Correlations via Geographically Weighted Neural Network Regression with A New Dataset
Yunpeng Zhou, Jinyu Wu, Rentao Liu, Zixuan Yu
The GDP and unemployment rates of two geographic units are influenced by their population density and economic characteristics, as well as their distance and spatial relationship. This work aim to use Geographically Weighted Regression (GWR), a classic and widely used method for modeling spatial heterogeneity, to analyze the correlation of these multiple factors. However, GWR does not precisely express its weighting kernel, making it insufficient to estimate complex geographic processes. Therefore, the work employed the Geographically Weighted Neural Network Regression (GNNWR) model, which combines Ordinary Least Squares (OLS) and neural networks, to estimate spatial heterogeneity based on GWR. This work collected various indicators, such as population density and GDP of first-level administrative units of the top 20 countries by GDP at the end of 2022, along with the Euclidean distance and geographic topology between these units. Using GNNWR, the work analyzed the correlation of their GDP growth. The results show that GNNWR outperforms OLS and GWR in fitting accuracy and provides more accurate predictions of the economic correlation between two geographic units.
Research Article
Open Access
Published 24 January 2025
DOI: 10.54254/2755-2721/2024.20532
Tropical Cyclone Trajectory Prediction with Integration of Shallow Convolutional Layer and Bi-LSTM
Keliang Wu, Bohan Zhao, Yujie Yang, Yumo Ouyang
Tropical cyclones are calamitous natural disasters that frequently result in severe economic losses. In order to enhance disaster response and management, as well as to reduce economic and humanitarian losses, it is imperative to forecast cyclones. This paper presents a deep learning approach using a Conv-Bi-LSTM model to forecast cyclone trajectories utilizing the HURDAT2 dataset. By integrating Convolutional layers with Bidirectional LSTM networks, the model effectively captures both spatial and temporal patterns in the data. After comparing with basic RNN, LSTM and GRU, proposed model illustrates better accuracy in trajectory predictions, even with relative complex routes. And thus, the proposed solution possesses potential in cyclone prediction so as to reinforce disaster responsiveness and further management.
Research Article
Open Access
Published 24 January 2025
DOI: 10.54254/2755-2721/2024.20533
Adaptive Iterative Control Optimization ICP Algorithm for Robust Point Cloud Registration in Urban Environments
Tianhang Zhu, Yuxiang Mao, Junzhi Zhang
This paper puts forward an improved ICP algorithm to improve the robustness of point cloud registration in complex urban environment, and adopts adaptive iterative control to solve the limitations of traditional ICP algorithm such as premature convergence or over-fitting caused by static iteration. Sobel convolution enhances the response ability of the algorithm to the complexity of the environment, and dynamically adjusts the iteration limit according to the feature difference of the point cloud, thus improving the registration accuracy and calculation efficiency. According to a large number of experiments on KITTI dataset, compared with the traditional ICP method, the algorithm can effectively reduce the root mean square error and improve the registration accuracy. These results verify the effectiveness and robustness of the algorithm in autonomous driving, robot navigation and urban mapping.
Research Article
Open Access
Published 24 January 2025
DOI: 10.54254/2755-2721/2024.20625
Path Planning for Robots in Fire Scenarios based on Dijkstra Algorithm and Genetic Algorithm
Yingwei Song, Qihong Duan, Juntian Liu
Robots have emerged as a pivotal element in enhancing firefighting operations, offering a blend of efficiency and safety to human responders. This paper delves into the development of a path planning strategy for robots navigating through fire scenarios. Particularly we fused the Dijkstra Algorithm and Genetic Algorithm (GA). Our methodology commences with a simplified yet comprehensive definition of the fire environment, incorporating factors such as obstacle height, surface roughness, and fire sources. The environment and surroundings are represented by a 2.5-dimensional grid map. On the other hand, the robot’s traversal and ascent capabilities modeled to reflect varying velocities across different terrains. The Dijkstra Algorithm is subsequently utilized to identify the optimal path from the starting point to the destination, ensuring a balance between minimal traversal time and reduced thermal exposure. Our results, demonstrated through MATLAB simulations, reveal a marked improvement in path planning when GA optimization is applied. The comparative analysis across three scenarios underscores the versatility and effectiveness of our approach, showcasing a significant reduction in both traversal time and thermal exposure. Index Terms—Robots, Firefighting, Path planning, Dijkstra, GA